PRODUCTS
Contact Us
Fax: +86-572-5520251
E-mail: bgs@kangrunpharm.com
Website: www.xufr.cn
APIs:
+86-15958015423
Preparation products:
TOC:+86-571-88175434
Rx Drug:+86-571-88175190
GMed:+86-571-88176600
Fax:+86-571-88176296
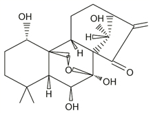
Oridonin
[Chemical structure]

[Chemical molecular formula] C20H28O6
[ Molecular weight] 364.43
[CAS No.] 28957-04-2
[Product specification] HPLC 98%
[Description]
Oridonin is an active component with strong inhibitory effects on the growth of cancer cells, which is separated and purified from the plant rubescen by means of modern biological technologies. Investigations with animal models proved that oridonin exerted suppressive effects on many kinds of tumors. Especially, inhibitory rate of oridonin on some common tumors reached 41%, such as pulmonary vein cancer, lung cancer, esophageal cancer, Ehrlich ascties carcinoma, and liver cancer, which was significantly higher than other anticancer drugs from plants. Accordingly, oridonin is quite remarkable and successful anticancer drug in succession to Taxol.

